Interaction between Aires Fender and electromagnetic radiation
Of special interest are surfaces with uniform structure, among which fractal and self-affine surfaces occupy a highly important place. This is both due to their unusual behavior and prospects of using the devices, made on their basis.
A capacitor is formed by the device’s two active surfaces, which are made of Aires topological circuits which have been superimposed using Immersion Gold technology and which are separated by a base made of a dielectric material.
The topological circuit accumulates charges. Power is supplied by external radiation generated by the powerful source. When an excess charge (polarization) has built up, it is automatically redistributed about the large topological circuit, which uses the charge to cause a coherent transformation of the field in the form of a hologram.
The hologram interacts with external radiation, restructures it (forward and reverse Fourier transform) converting it into the coherent state.
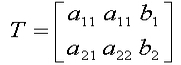
The term “affine” means the transformation of a vector, drawn from the origin to a point with coordinates (x1, y1), into the vector from the point with coordinates (b1, b2) into the point with coordinates (x2, y2):
x2 = a11x1 + a12y1 + b1
y2 = a21x1 + a22y1 + b2
Then the transformation being performed can be written as matrix:

Change of the values of coefficients a11, a12, a21, a22 causes rotation, reflection, moving off/approach of the point relative to the origin. Change of the values of coefficients b1 and b2 causes the shift of the point relative to the origin.
| If, for example, | ![]() |
, |
there takes place a turn relative to the origin by an a angle.
| If | ![]() |
, |
Then the turn by an a angle occurs relative to the point with coordinates (10, 10).
| If | ![]() |
, |
there takes place scaling, i.e. moving off (m>1) from the origin, or approaching (m<1) of the point to the origin. When the operation of scaling is performed for all points of some figure, then there takes place an increase or decrease of its dimensions by the factor of m.
When multiple affine transformations are performed for the same object, then it is possible to obtain the so-called self-affine object like, for example, a well-known “Barnsley fern”.

Barnsley fern
Development of the Aires coherent converter is based on creating an image with self-affine properties. The following figure shows the surface relief of some samples of their products.
Microprocessor Aires |
Aires Fender panel |
| Some samples of surface topology of Aires products | |
Below, a second look will be taken at the surface shown in Fig. 3a, the stages of obtaining the surface pattern of which are presented in Fig. 4.
![]() а |
![]() b |
![]() c |
| a – the first stage b – the second – cloning of the graphs in radius (scale, shift, rotate) c – the final result |
||
The electromagnetic radiation is in the range of wavelengths from tens of km to units of ångström (10-8 cm) or in the range of frequencies from units of Hertz to 1026….1028 Hertz. This range is divided into low and high frequencies, then follow superhigh frequencies, infrared radiation, visible light, ultraviolet radiation, gamma-radiation, and cosmic rays.

Electromagnetic radiation range
This radiation includes both the radiation of natural genesis (e.g. solar radiation) and radiation of artificial genesis, engendered by human technogenic activity. On some evidence, human activity has already resulted in the fact that in the range of radiowaves the Earth radiates energy comparable with the one of star radiation.
Electromagnetic radiation as a whole is dangerous for people, who are adapted to natural solar and geophysical radiation, and are not adopted to artificial radiation of technical origin. Therefore, it is necessary to have means to protect men against harmful technogenic radiation.
Aires coherent converters have been used already for some years as the above means.
It is interesting how these products operate. To understand the mechanism of operation, a model of interaction between an electromagnetic wave and Aires resonator, the surface of which is shown in previous picture, was built.
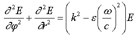
Interaction between the electromagnetic wave and the surface for a stationary case can be written as follows:
| (1) | ![]() |
, where: |
- k – wave number,
- e – plate dielectric penetrability,
- w – cyclic frequency,
- c – light velocity;
- r – length of radius-vector,
- j – polar angle.
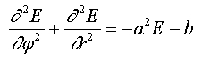
At modeling the following stationary model is used:
| (2) | ![]() |
, where: |
- E – function, proportional to radiation intensity;
- r – length of radius-vector,
- j – polar angle,
- a – coefficient of lines absorption.
Results of modeling
1. Calculations were made according to equations (1) and (2) for different proportions between the characteristics of the incident wave and resonator.
a) 2 periods of the incident wave for 1 turn along the resonator generatrix.
Left fig. – amplitude, right fig. – phase.
b) 62 periods of the incident wave for 1 turn along the resonator generatrix.
Left fig. – amplitude, right fig. – phase.
c) 11 periods of the incident wave for 1 turn along the resonator generatrix.
Left fig. – amplitude, right fig. – phase.
d) 19 periods of the incident wave for 1 turn along the resonator generatrix.
2. Calculations were made according to equations (1) and (2) for different proportions between the characteristics of the incident wave and resonator in case of interaction between two resonators, i.e. the wave is reflected from one resonator to another one, placed parallel to the first one.
Results are given below for different angles of turning one resonator relative to another one.

| Angle 0 | Angle π/16 |

| Angle π/8 | Angle 3π/16 |

| Angle π/4 | Angle 5π/16 |

| Angle 6π/16 | Angle 7π/16 |
Angle π/2
Conclusion.
Results, presented here, show that Aires resonator unlike traditional products used today (e.g. diffraction grating) is a device capable to interact with the radiation at different proportions of the incident wave parameters and some characteristic resonator dimensions. Results, presented here, show that on the resonator surface appear stable cross-shaped zones of intensity distribution. It can be explained by self-similarity of the resonator surface affine structure.



Microprocessor Aires
Aires Fender panel


